Close Navigation
Theil Mixed Estimator

Theil Mixed Estimator

Posted November 16, 2022 at 3:47 pm

Sang-Heon Lee
SHLee AI Financial Model

This post deals with the Theil mixed estimator which uses the prior information as well as the sample information.

Theil mixed estimator incorpoate stochastic non-sample information into a linear model. This estimator mixes sample and prior information in a generalized least squares sense. Information regarding GLS estimator can be found at the following previous post.

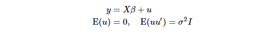
Linear model with sample information

Sample information is represented by the following linear model.

Linear model with sample information

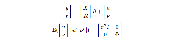
Linear model with sample and prior information

Prior information has the following form

Linear model with sample and prior information

where R is J × K and r is J × 1ν is a J × 1 normally distributed random error vector.

Incorporating the prior information into the sample information leads to the following model specification.

Incorporating the prior information into the sample information leads to the following model specification.

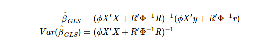
GLS estimator

The GLS estimator is as follows.

GLS estimator

By using matrix multiplications, this result can be simplified to

matrix multiplications

where ϕ stands for the precision of the regression model : ϕ = 1/σ2.

By inverting = and its variance can be obtained.

where ϕ stands for the precision of the regression model : ϕ = 1/σ2

This is the Theil mixed estimator.

Theil mixed estimator

More generally, when theil mixedis used instead of thiel mixed estimator the Theil mixed estimator can also be represented

Theil mixed estimator

Concluding Remarks

This post derived the Theil mixed estimator which uses the prior information as well as the sample information. This formulation will be used when deriving the Black-Litterman model.

Visit the SH Fintech Modeling Blog to read more about this topic: https://kiandlee.blogspot.com/2022/09/theil-mixed-estimator.html.

Join The Conversation

For specific platform feedback and suggestions, please submit it directly to our team using these instructions.

If you have an account-specific question or concern, please reach out to Client Services.

We encourage you to look through our FAQs before posting. Your question may already be covered!

Disclosure: Interactive Brokers Third Party

Information posted on IBKR Campus that is provided by third-parties does NOT constitute a recommendation that you should contract for the services of that third party. Third-party participants who contribute to IBKR Campus are independent of Interactive Brokers and Interactive Brokers does not make any representations or warranties concerning the services offered, their past or future performance, or the accuracy of the information provided by the third party. Past performance is no guarantee of future results.

This material is from SHLee AI Financial Model and is being posted with its permission. The views expressed in this material are solely those of the author and/or SHLee AI Financial Model and Interactive Brokers is not endorsing or recommending any investment or trading discussed in the material. This material is not and should not be construed as an offer to buy or sell any security. It should not be construed as research or investment advice or a recommendation to buy, sell or hold any security or commodity. This material does not and is not intended to take into account the particular financial conditions, investment objectives or requirements of individual customers. Before acting on this material, you should consider whether it is suitable for your particular circumstances and, as necessary, seek professional advice.

IBKR Campus Newsletters

This website uses cookies to collect usage information in order to offer a better browsing experience. By browsing this site or by clicking on the "ACCEPT COOKIES" button you accept our Cookie Policy.