Close Navigation
Hull-White 2-factor Model: 2) Zero Coupon Bond

Hull-White 2-factor Model: 2) Zero Coupon Bond

Posted December 14, 2022 at 3:25 pm

Sang-Heon Lee
SHLee AI Financial Model

This post derives the expression of zero coupon bond price of Hull-White 2-factor model.

Earlier posts on Hull-White 2-factor model

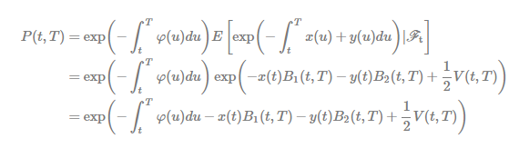
Let P(t,T) denotes the price of zero-coupon bond with maturity T at time t. Assuming Ft as the information generated by x(t) and y(t) up to time tP(t,T) have the following form.

 class=

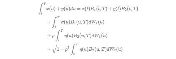
To solve for P(t,T), we need to know the implementable expression for  src=  except for φ(u) because φ(u) is not stochastic but deterministic process. Integrating x(u)+y(u) from time t to T, we can get the following result.

 class=

Here, = and =. The derivation above is of the same logic for the case of Hull-White 1-factor model.

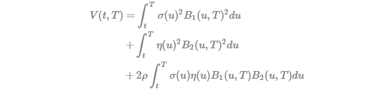
V(t,T) is also given using Itô isometry like Hull-White 1-factor model.

 class=

Similar to HW 1-factor model, we can find that  src= follows the normal distribution of a mean x(t)B1(t,T)+y(t)B2(t,T) and a variance V(t,T).

Using the fact that  src= with a normally distributed random variable Y which has a mean μ and a variance σ2, the price of zero-coupon bond becomes

 class=

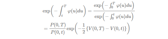
It is argued that Hull-White model is consistent to the no-arbitrage assumption (perfect fit) if market discount factor P(0,T) satisfies the following condition.

 class=

Using the above relationship,

 class=

As the above expression for function φ(.) holds, the price of zero-coupon bond has the following form.

 class=

Substituting V(t,T) into the equation, the price of zero coupon bond P(t,T) is reformulated as

 class=

From this post, we know that most of derivation regarding HW 2-factor model is similar to the HW 1-factor model.

For additional insight on this topic visit the SH Fintech Modeling Blog.

Join The Conversation

For specific platform feedback and suggestions, please submit it directly to our team using these instructions.

If you have an account-specific question or concern, please reach out to Client Services.

We encourage you to look through our FAQs before posting. Your question may already be covered!

Disclosure: Interactive Brokers Third Party

Information posted on IBKR Campus that is provided by third-parties does NOT constitute a recommendation that you should contract for the services of that third party. Third-party participants who contribute to IBKR Campus are independent of Interactive Brokers and Interactive Brokers does not make any representations or warranties concerning the services offered, their past or future performance, or the accuracy of the information provided by the third party. Past performance is no guarantee of future results.

This material is from SHLee AI Financial Model and is being posted with its permission. The views expressed in this material are solely those of the author and/or SHLee AI Financial Model and Interactive Brokers is not endorsing or recommending any investment or trading discussed in the material. This material is not and should not be construed as an offer to buy or sell any security. It should not be construed as research or investment advice or a recommendation to buy, sell or hold any security or commodity. This material does not and is not intended to take into account the particular financial conditions, investment objectives or requirements of individual customers. Before acting on this material, you should consider whether it is suitable for your particular circumstances and, as necessary, seek professional advice.

IBKR Campus Newsletters

This website uses cookies to collect usage information in order to offer a better browsing experience. By browsing this site or by clicking on the "ACCEPT COOKIES" button you accept our Cookie Policy.